Picture of Grant McCondichie

Mr McCondichie

Website security

Unit 2 - Nature's Chemistry Topics:

(a) Systematic Carbon Chemistry

(b) Alcohols

(c) Carboxylic Acids

(d) Esters, Fats and Oils

(e) Soaps, Detergents and Emulsions

(f) Proteins

(g) Oxidation of Food

(h) Fragrances

(i) Skin Care

(b) Alkanols (Alcohols)

Important characteristics of the alkanols homologous series;

CnH2n+1OH

Primary, Secondary and Tertiary Alcohols

There are three categories of alcohol - primary, secondary and tertieary.

Primary

The carbon attached to the -OH group is directly bonded to only one alkyl group. (i.e. 1 carbon)

e.g.

Secondary

The carbon attached to the -OH group is directly bonded to two alkyl groups. (i.e. 2 carbons)

e.g.

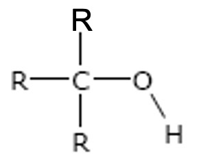
Tertiary

The carbon attached to the -OH group is directly bonded to three alkyl groups. (i.e. 3 carbons)

e.g.

Isomers and Naming Rules

Isomers can result from both chain branching and varying the position of the -OH group.

  1. In naming, the main chain (longest) must contain the -OH group, whose position is indicated by a number.
  2. Number the chain to give any branches the lowest possible number.
  3. Name the branches: methyl (-CH3), ethyl (-C2H5), propyl (-C3H7) etc.

Systematic Naming - Example 1

Name the molecule below.